• Предмет: Математика
  • Автор: yousei1234
  • Вопрос задан 8 лет назад

Помогите решить примеры

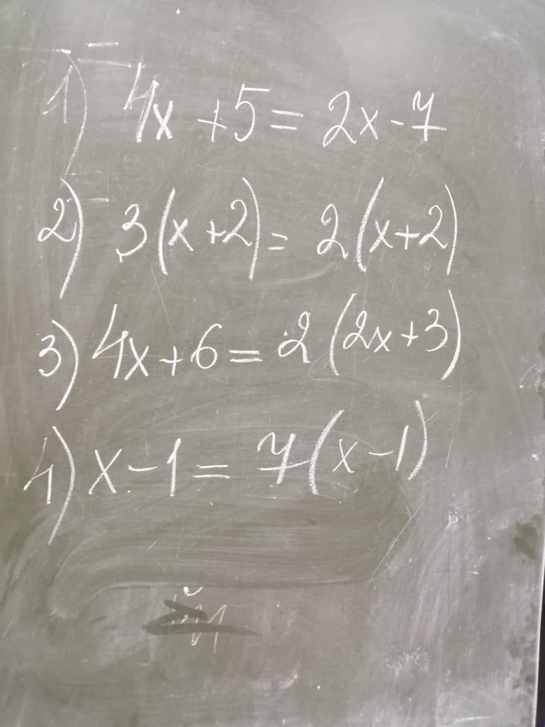
Приложения:

Ответы

Ответ дал: alexlex200707
1

Пошаговое объяснение:

В таких уравнениях переносим неизвестное в левую часть меняя знаки на противоположные , а числа в правую часть , также не забывая менять знаки на противоположные .

1)

4х + 5 = 2х - 7

4х - 2х = - 7 - 5

2х = - 12

х = -12 : 2

х = - 6

Проверка

4*(-6) + 5 = 2*(-6) -7

-24 + 5 = -12 -7

-19 = - 19

получили верное равенство , значит корень найден верно.

Ответ : -6

2)

3( х+2) = 2 *(х+2)

раскроем скобки , а далее по алгоритму .

3х + 6 = 2х + 4

3х - 2х = 4 - 6

х = - 2

Проверка

3(-2 +2) =2 ( -2 + 2)

0 = 0

Ответ : -2

3)

4х + 6 = 2 ( 2х+3)

4х + 6 = 4х + 6

4х - 4х = 6 - 6

0=0

Ответ : уравнение имеет бесконечное множество решений

4)

х-1 = 7* ( х-1)

х - 1 = 7х -7

х - 7х = - 7 + 1

-6х = - 6

х = - 6 : ( -6)

х = 1

Проверка :

1 - 1 = 7( 1- 1 )

0 = 0

Ответ : 1

Вас заинтересует