• Предмет: Математика
  • Автор: Аноним
  • Вопрос задан 8 лет назад

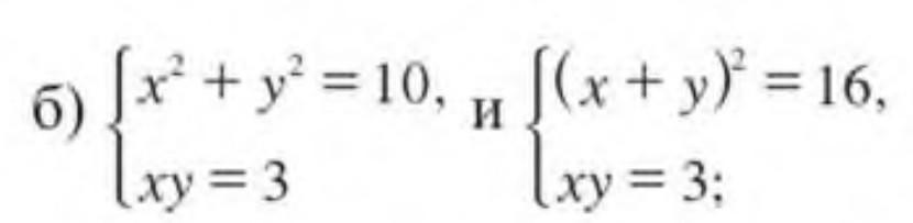
являются ли равносильными системы уравнений:​

Приложения:

Ответы

Ответ дал: maiev2021
1

Ответ:

да

Пошаговое объяснение:

можно найти решения методом подбора. Произведение xy=3 дают 4 пары чисел: (3; 1); (1; 3); (-1; -3); (-3; -1)

Квадрат числа всегда неотрицателен, то есть x²+y²=10 верно с каждой из этих пар.

(x+y)² тоже всегда неотрицателен, с каждой из пар чисел мы будем получать 4, а 4²=16

системы равносильны, так как любое решение первой является решением второй

Ответ дал: alexlex200707
1

Ответ:

Да

Пошаговое объяснение:

Две системы уравнений называют равносильными, если любое решение первой системы является решением второй системы и любое решение второй системы является решением первой системы. Равносильны также две системы, если каждая из них не имеет решений.

\displaystyle \left \{ {{x^2+y^2=16} \atop {xy=3}} \right.

и

\displaystyle \left \{ {{(x+y)^2=16} \atop {xy=3}} \right. \\ \\

Преобразуем вторую систему уравнений:

\displaystyle  \left \{ {{x^2+2xy+y^2=16} \atop {xy=3}} \right.

Подставим значение ху в первое уравнение :

х²+2*3+у²=16

х²+6+у²=16

х²+у²=16-6

х²+у²=10

и получаем систему :

\displaystyle \left \{ {{x^2+y^2=10} \atop {xy=3}} \right.

Как видим , мы получили систему идентичную первой системе уравнений . Значит любое решение первой системы уравнений будет решение второй системы уравнений , что говорит о том , что они - равносильны.

Вас заинтересует