Ответы
Ответ дал:
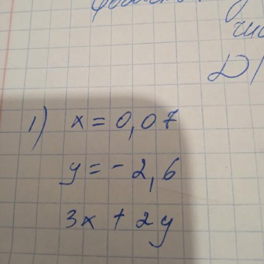
1
3x+2y
0,07*3+(-2,6)*2
0,21-2,6*2
0,21-5,2=-4,99
Надеюсь, помогла :)
0,07*3+(-2,6)*2
0,21-2,6*2
0,21-5,2=-4,99
Надеюсь, помогла :)
Аноним:
огромное спасибо!!!!
Ответ дал:
1
вот так решается это верно,все проверил.
Приложения:

Вас заинтересует
2 года назад
2 года назад
3 года назад
8 лет назад