• Предмет: Геометрия
  • Автор: 00ketevip99
  • Вопрос задан 11 лет назад

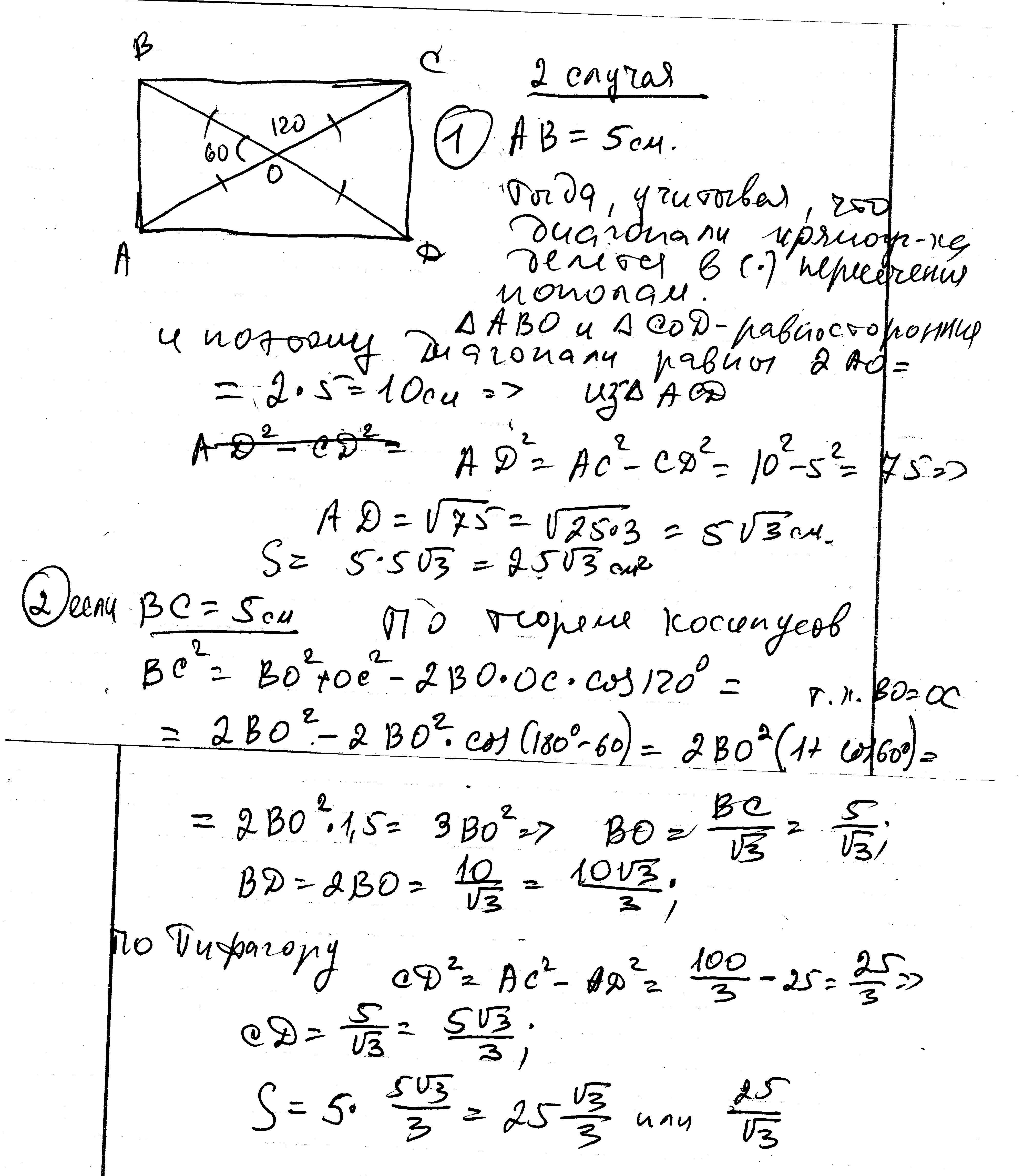
Найдите площадь прямоугольника, если одна из его сторон равна 5 см, а угол между диагоналями равен 60 градусов.

Ответы

Ответ дал: ужнеужели
0
Вообще говоря условие задачки не слишком корректно, потому что не указано, (хотя это интуитивно и понятно) лежит сторона 5 см против угла 60 градусов или нет. Поэтому, надо рассмотреть 2 случая. Они в скане.
Приложения:
Вас заинтересует