Поезд, идущий со скоростью v0 = 36 км/ч, начинает двигаться равноускоренно и проходит путь S = 600 м, имея в конце этого участка скорость v = 45 км/ч. Определить ускорение поезда а и время t его ускоренного движения.
Ответы
Ответ дал:
11
Ответ:
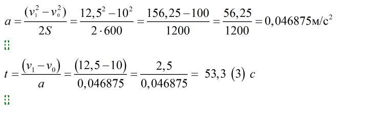
a=0,046875 м/с²
t=53,3 (3) с
Объяснение:
Дано:
S=600 м
v₀=36 км/ч= 10 м/с
v₁=45 км/ч= 12,5 м/с
Найти:
a-?
t-?
Приложения:

Вас заинтересует
2 года назад
3 года назад
3 года назад
8 лет назад
9 лет назад
9 лет назад