• Предмет: Математика
  • Автор: os1582393
  • Вопрос задан 8 лет назад

распишите пожалуйста решение (6 класс)​

Приложения:

Ответы

Ответ дал: ksyuwi
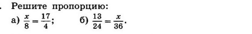
1

Свойство пропорции: произведение крайних членов пропорции равняется произведению средних.

\frac{a}{b}=\frac{c}{d}   ⇒  a*d=b*c

( а )

Крайние члены пропорции:  x и 4

Средние члены пропорции:  8 и 17

\frac{x}{8}=\frac{17}{4}\\\\x*4=8*17\\\\4x= 136\\\\x=136:4\\\\x= 34

( б )

Крайние члены пропорции:  13 и 36

Средние члены пропорции: 24 и x

\frac{13}{24}=\frac{x}{36}  \\\\24*x=13*36\\\\24x=468\\\\x=468:24\\\\x=19,5

Вас заинтересует