• Предмет: Алгебра
  • Автор: mrrke6
  • Вопрос задан 8 лет назад

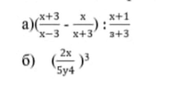
помогитее плиз...............​

Приложения:

Ответы

Ответ дал: Pedaqoq
1

Объяснение:

оцени пожалуйста на 5 ☆

буду благодарна

Приложения:
Вас заинтересует