• Предмет: Алгебра
  • Автор: frezy777
  • Вопрос задан 8 лет назад

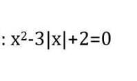
Найдите корни уравнения​

Приложения:

Ответы

Ответ дал: helinia01
1

Ответ: х1=2, х2=1, х3=-2, х4=-1

Решение на фото

Приложения:
Вас заинтересует