• Предмет: Математика
  • Автор: tagaibekova05
  • Вопрос задан 8 лет назад

помогите пожалуйста срочно​

Приложения:

Ответы

Ответ дал: tolya91
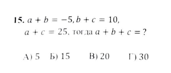
1

Ответ:

15

Пошаговое объяснение:

сложим все 3 уравнения

a+b+b+c+a+c=-5+10+25=30

a+b+c=15

Вас заинтересует