Ответы
Ответ дал:
1
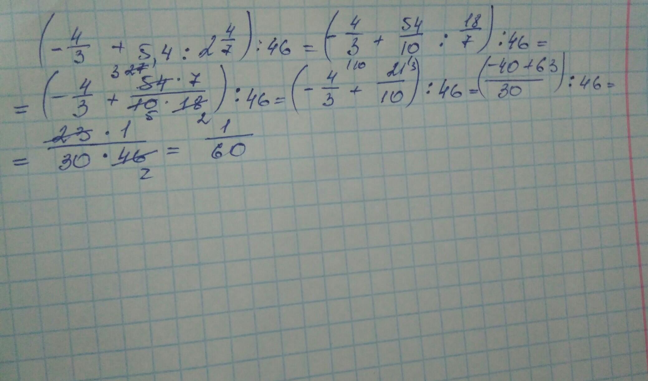
Решение в прикрепленном файле.
Ответ: 1/60
Приложения:

Ответ дал:
1
Ответ:
1/60
Объяснение:
решение на фото, надеюсь помог
Приложения:


Вас заинтересует
2 года назад
2 года назад
3 года назад
9 лет назад