• Предмет: Алгебра
  • Автор: secretic20
  • Вопрос задан 8 лет назад

2)(7⁵) ⁶•7²⁷
——————
(7¹⁴) ⁴
помогите пожалуцста 2); 4); 6): прмеры ​

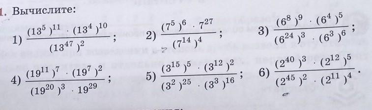
Приложения:

Ответы

Ответ дал: papagenius
1

Решение и ответ:

\displaystyle 2)\;\;\[\frac{{{{\left( {{7^5}} \right)}^6} \cdot {7^{27}}}}{{{{\left( {{7^{14}}} \right)}^4}}}=\frac{{{7^{5 \cdot 6}} \cdot {7^{27}}}}{{{7^{14 \cdot 4}}}}=\frac{{{7^{30}} \cdot {7^{27}}}}{{{7^{56}}}}=\frac{{{7^{30+27}}}}{{{7^{56}}}}=\frac{{{7^{57}}}}{{{7^{56}}}}= {7^{57-56}}={7^1} = \boxed{7}\]

\displaystyle 4)\;\;\[\frac{{{{\left( {{{19}^{11}}} \right)}^7} \cdot {{\left( {{{19}^7}} \right)}^2}}}{{{{\left( {{{19}^{20}}} \right)}^3} \cdot {{19}^{29}}}}=\frac{{{{19}^{11 \cdot 7}} \cdot {{19}^{7 \cdot 2}}}}{{{{19}^{20 \cdot 3}} \cdot {{19}^{29}}}}=\frac{{{{19}^{77}} \cdot {{19}^{14}}}}{{{{19}^{60}} \cdot {{19}^{29}}}}=\frac{{{{19}^{77+14}}}}{{{{19}^{60+29}}}}= \frac{{{{19}^{91}}}}{{{{19}^{89}}}}={19^{91-89}}={19^2}=\boxed{361}\]

\displaystyle 6)\;\;\[\frac{{{{\left( {{2^{40}}} \right)}^3} \cdot {{\left( {{2^{12}}} \right)}^5}}}{{{{\left( {{2^{45}}} \right)}^2} \cdot {{\left( {{2^{11}}} \right)}^4}}}=\frac{{{2^{40 \cdot 3}} \cdot {{20}^{12 \cdot 5}}}}{{{2^{45 \cdot 2}} \cdot {2^{11 \cdot 4}}}}=\frac{{{2^{120}} \cdot {2^{60}}}}{{{2^{90}} \cdot {2^{44}}}}=\frac{{{2^{120+60}}}}{{{2^{90+44}}}}=\frac{{{2^{180}}}}{{{2^{134}}}}={2^{180-134}}=\boxed{{2^{46}}}\]

2⁴⁶ = 4²³ = 70368744177664

Вас заинтересует