• Предмет: Физика
  • Автор: fidarovk
  • Вопрос задан 10 лет назад

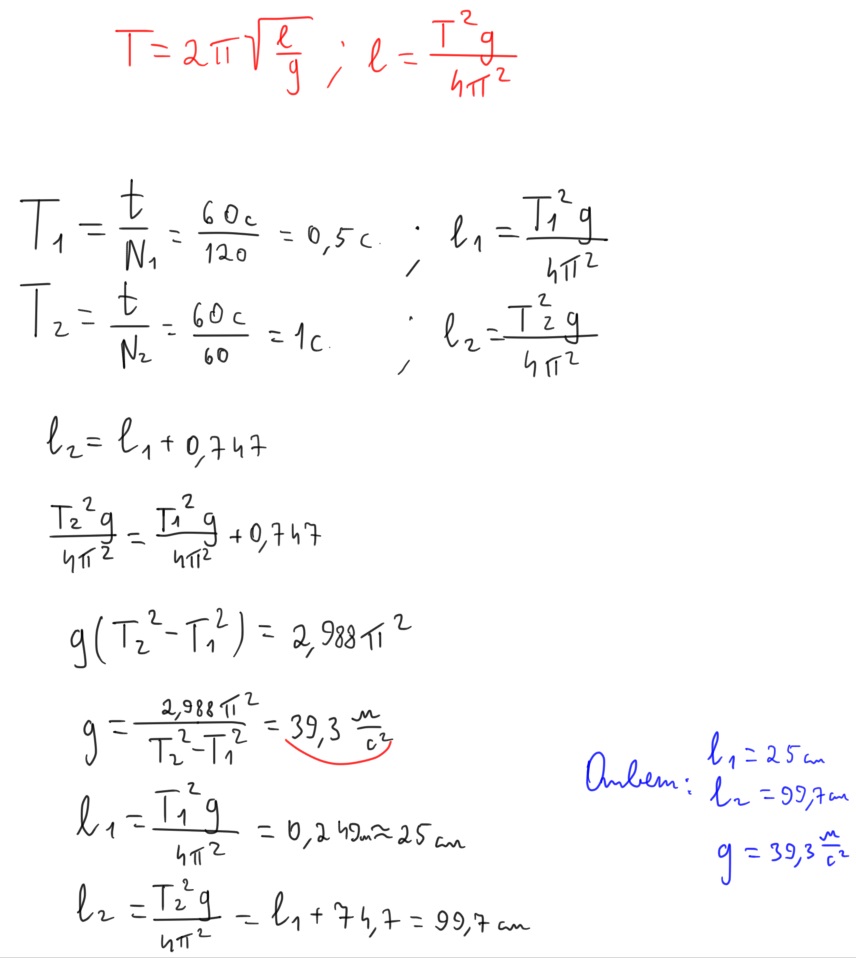
За 2 мин маятник совершил 120 колебаний . Когда длину маятника увеличили на 74.7 ,то он за то же время совершил 60 колебаний . Найдите начальную и конечную длины маятника и ускорение свободного падения в этом месте.

 

Ответы

Ответ дал: nikolac
0
Решение на картинке.
Приложения:
Вас заинтересует