• Предмет: Алгебра
  • Автор: milanaanam
  • Вопрос задан 8 лет назад

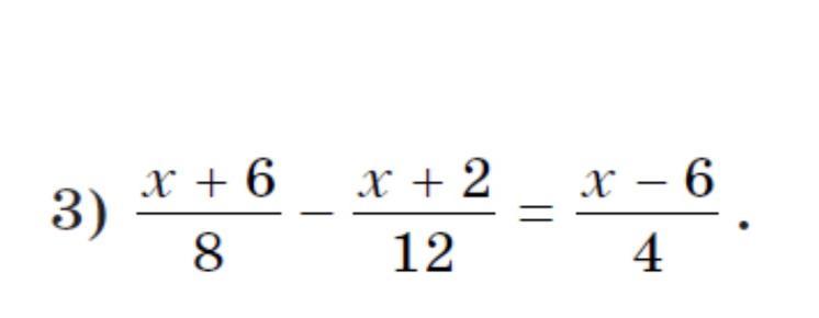
помогите и объясните

Приложения:

Ответы

Ответ дал: danila4761
0

Ответ:

x=10

Объяснение:

3(x + 6) - 2(x + 2) = 6(x - 6)

3x + 18 - 2x - 4 = 6x - 36

x + 14 = 6x - 36

x - 6x =  - 36 - 14

 - 5x =  - 50

x = 10

Вас заинтересует