• Предмет: Алгебра
  • Автор: Аноним
  • Вопрос задан 8 лет назад

Пожалуйста помогите❤️​

Приложения:

Ответы

Ответ дал: alibek2930
1

Ответ:

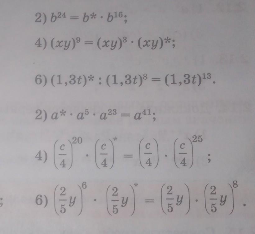
2) b²⁴=b8*b16

4) (xy)9=(xy)³*(xy)6

6) (1.3t)21:(1.3t)8

2) a13*a5*a23=a41

4) там кароче 6 поставить нужно

6) там 3

Объяснение:

правильно!!!

Вас заинтересует