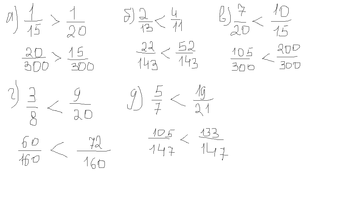
сравните дроби, не приводя к общему знаменателю : 1/15 и 1/20, 2/13 и 4/11, 7/20 и 10/15, 3/8 и 9/20, 5/7 и 19/21
Ответы
Ответ дал:
0
если вам надо найти , что больше нужно привести к одному основанию.
Приложения:

Ответ дал:
0
спасибки ^^, плохо что не 2 ответа(( так бы Вас лучшим выбрала:)))
Ответ дал:
0
В интернете есть специальная программа, что бы дроби сравнить не приводя к общему основанию. А тут так, по старинке.
Ответ дал:
0
Да ладно:) Я не знала - ВСЕ РАВНО ПОМОГЛИ)))))большое спасибо)
Вас заинтересует
2 года назад
2 года назад
8 лет назад
10 лет назад
10 лет назад
10 лет назад