алгебра 8 класс,помогите пожалуйста решить
на всякий случай,решение с Фотоматч не отправлять,потому что я не очень в нем уверен
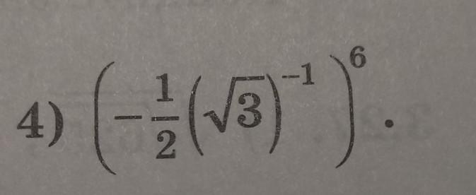
(-1/2(√3)^-1)^6
Приложения:

Ответы
Ответ дал:
1
Ответ:
Объяснение:
(Минус пропал, т.к. мы возвели в четную степень)
SvNC:
спасибо большое тебе
Вас заинтересует
2 года назад
2 года назад
3 года назад
3 года назад
8 лет назад
8 лет назад
9 лет назад