• Предмет: Алгебра
  • Автор: vilonmilon
  • Вопрос задан 8 лет назад

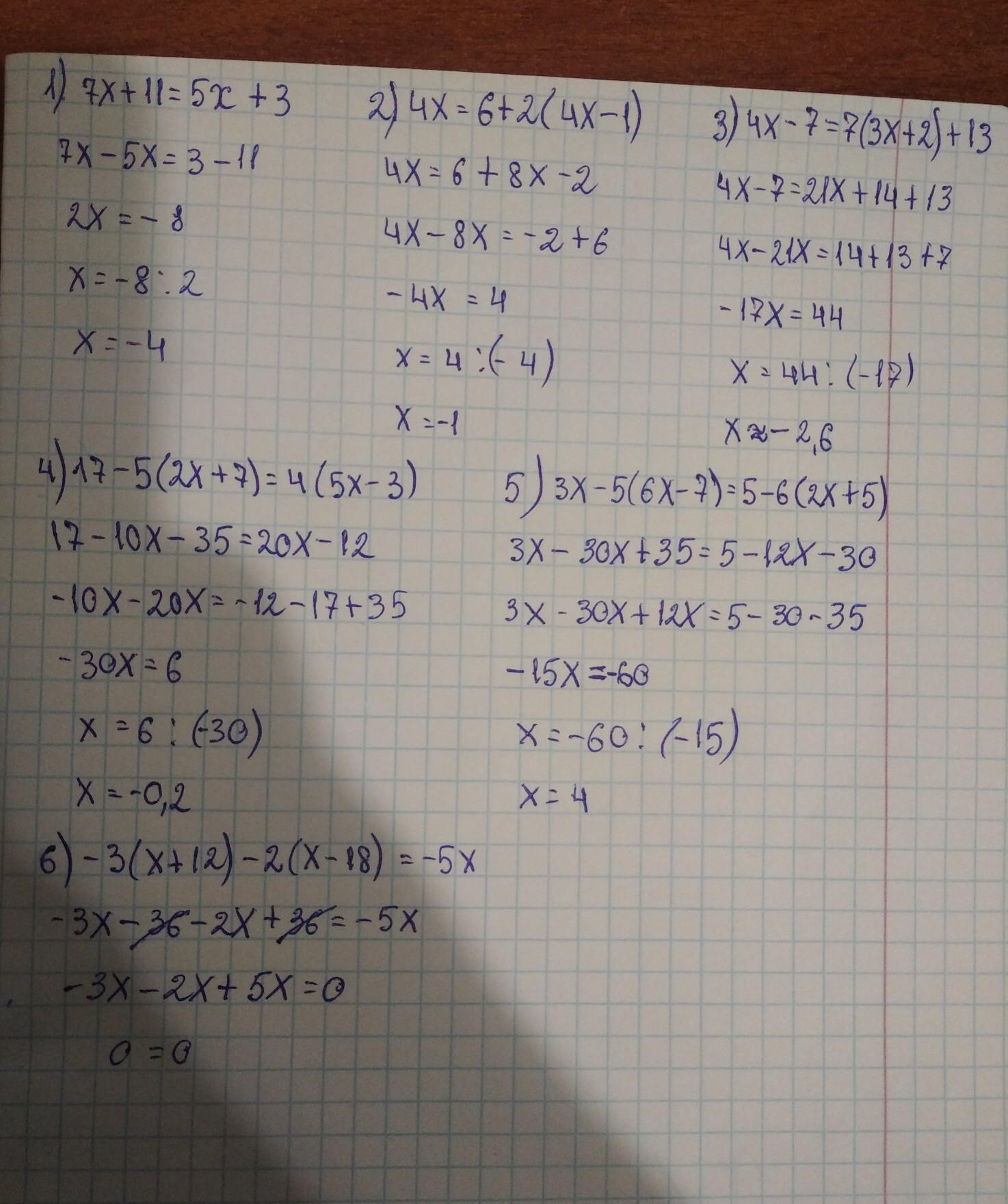
пожалуйста помогитее​

Приложения:

Ответы

Ответ дал: romanovaruslana416
1

~~~~~~~~~~~~~~~~~~~~~

Приложения:
Вас заинтересует