Ответы
Ответ дал:
0
Дано:T=1с.
Найти:l-?
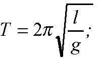
Решение:1)(Формула,картинку см.)Потом получаем из этой формулы 9.8*1/4*(3.14)2=0,24(Приблизительно.)
Найти:l-?
Решение:1)(Формула,картинку см.)Потом получаем из этой формулы 9.8*1/4*(3.14)2=0,24(Приблизительно.)
Приложения:

Ответ дал:
0
Благодарю!
Ответ дал:
0
http://5terka.com/node/5213 Числа др,но решение так же.
Вас заинтересует
2 года назад
2 года назад
8 лет назад
8 лет назад
10 лет назад
10 лет назад
10 лет назад