• Предмет: Алгебра
  • Автор: bagamayeva63
  • Вопрос задан 8 лет назад

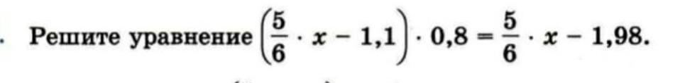
объясните как эти уравнения решать пожалуйста​

Приложения:

Ответы

Ответ дал: kellalina
0

Ответ:

-6,6

Объяснение:

1) Открываем скобки, представлю 0,8 в виде обыкновенной дроби, для удобства счета:

\frac{5}{6} *\frac{8}{10} x-1,1*0,8=\frac{5}{6} x-1,98\\\frac{2}{3} x-0,88=\frac{5}{6} x-1,98

2) Слогаемые с "х" перенесу все влево, без "х" вправо. Если переношу слагаемое через знак "=" знак слагаемоего меняется на противоположный. Приводим подобные:

\frac{2}{3} x-\frac{5}{6} x=-1,98+0,88

\frac{1}{6} x=-1,1\\\frac{1}{6} x=-\frac{11}{10}

3) Чтобы найти х разделим на число, которое стоит перед х:

x=-\frac{11}{10} :\frac{1}{6} \\x=-\frac{11}{10} *\frac{6}{1} \\x=-\frac{66}{10}\\x=-6,6

Вас заинтересует