• Предмет: Алгебра
  • Автор: roziiabonukhalikova
  • Вопрос задан 8 лет назад

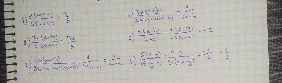
срочноооо помогитеее надо сократить дробь!!!!!!!!​

Приложения:

Ответы

Ответ дал: tinkerbell1118
1

Ответ:

на фото

Объяснение:

...............

Приложения:
Вас заинтересует