Ответы
Ответ дал:
1
Пошаговое объяснение:
Вот держи, тут просто нужно сделать простое упрощение
Приложения:


mops13098:
1)1 3/8 2) 7 1/3
Ответ дал:
1
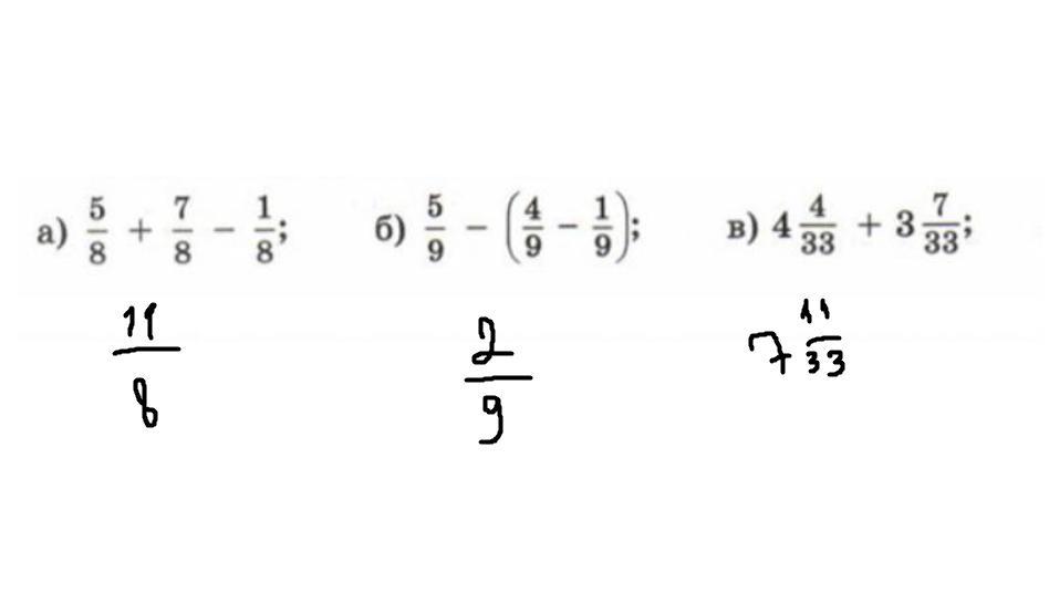
Ответ:
а)11/8
б)2/9
в)7 целых 11/33
Приложения:

Вас заинтересует
2 года назад
2 года назад
3 года назад
8 лет назад
9 лет назад
9 лет назад