• Предмет: Алгебра
  • Автор: kusumbaevgibrat
  • Вопрос задан 8 лет назад

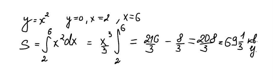
найдите площадь криволинейной трапеции, ограниченную заданными линиями: y=x2-1, y=0, x=2, x=3​

Ответы

Ответ дал: Creanlio
2

Решение задания смотри на фотографии

Приложения:

kusumbaevgibrat: Спасибо за ответ, но это уже давно не стало нужно
Вас заинтересует