• Предмет: Алгебра
  • Автор: ymnik9213
  • Вопрос задан 11 лет назад

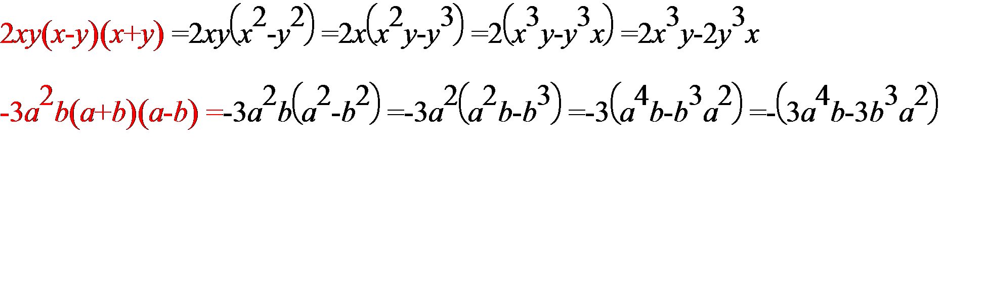
преобразуйте в многочлен:

2xy(x-y)(x+y)=

-3(a в квадрате)b(a+b)(a-b)

 

Ответы

Ответ дал: triolana
0

файл

-------------------------------- 

Приложения:
Вас заинтересует