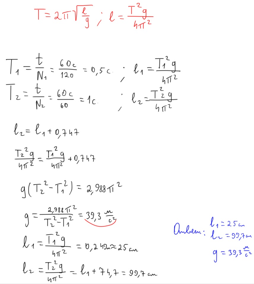
За 2 мин маятник совершил 120 колебаний. Когда длину маятника увеличили на 74.7,то он за то же время совершил 60 колебаний. Найдите начальную и конечную длины маятника и ускорение свободного падения
Ответы
Ответ дал:
0
Решение на картинке.
Приложения:

Вас заинтересует
2 года назад
2 года назад
10 лет назад
10 лет назад
10 лет назад