• Предмет: Математика
  • Автор: andryhakjk
  • Вопрос задан 8 лет назад

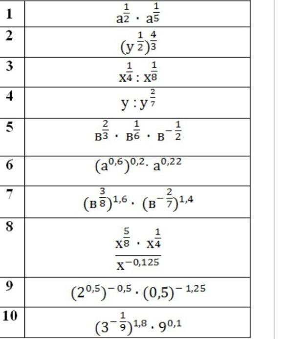
хотябы 5
пожалуйста.​

Приложения:

Ответы

Ответ дал: sssssssss77
0

Ответ:

5) b ⅓ =

 \sqrt[3]{b}

6) a ⁰'¹²• a ⁰'²²= a⁰'³⁴= a ¹⁷/⁵⁰=

 \sqrt[50]{a {}^{17} }

дальше хз

Вас заинтересует