Ответы
Ответ дал:
1
Ответ:
Смотри решение на фото выше
Приложения:


Ответ дал:
0
Ответ:
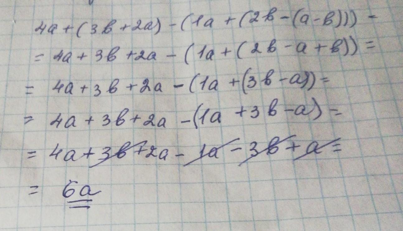
1) 6а
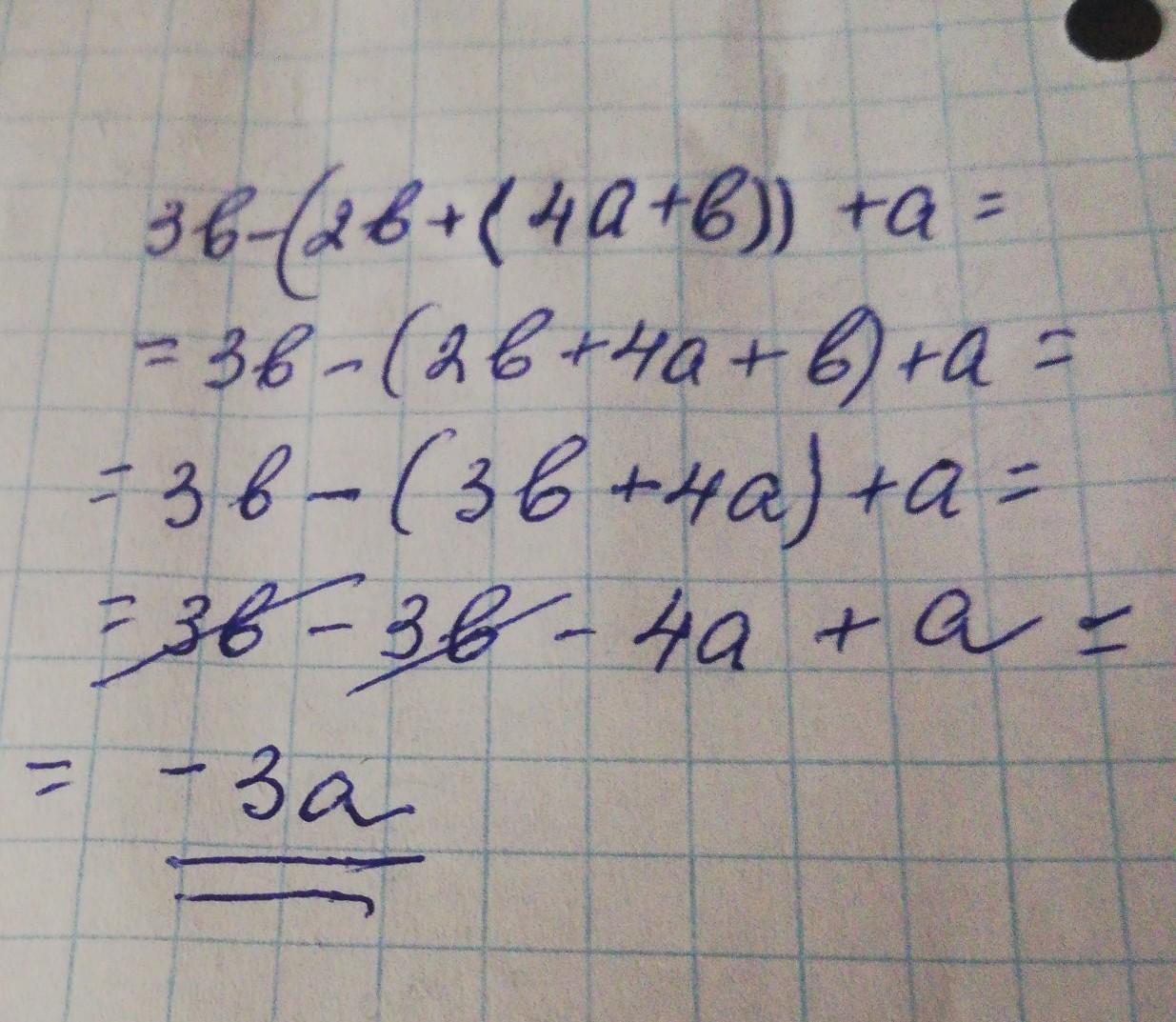
2)-3a
Пошаговое объяснение:
1) 4a+3b+2a-(1a+2b-a+b) =
= 4a+3b+2a-a-2b+a-b =
6a
2) 3b-(2b+4a+b)+a =
= 3b-2b-4a-b+a =
= -3a
Вас заинтересует
2 года назад
3 года назад
3 года назад
8 лет назад
8 лет назад
9 лет назад