1 ВАРИАНТ
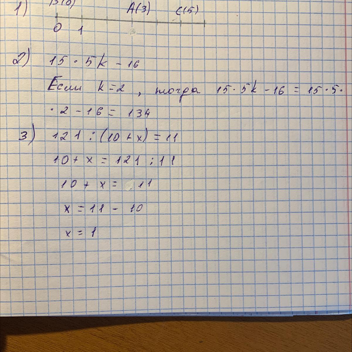
Начертите координатный луч, за единичный отрезок примите отрезок длиной 1 см. Отметьте на координатном луче точки: A(3), B(0) и С(5).
Найдите значение выражения: 15·5к-16 при к=2.
Решите уравнение: 121: (10+х)=11
Прямоугольный садовый участок, площадью которого равна 10 соток, огорожен забором. Длина участка 40 м. Какова длина забора?
сделайте пожалуйста
дам 25 баллов
Ответы
Ответ дал:
2
примерно так, 4 задание не делала)
Приложения:
snikolaym8:
Окей, спасибо большое, надеюсь правильно
Вас заинтересует
2 года назад
2 года назад
3 года назад
3 года назад
9 лет назад
9 лет назад
10 лет назад
10 лет назад