• Предмет: Алгебра
  • Автор: Аноним
  • Вопрос задан 8 лет назад

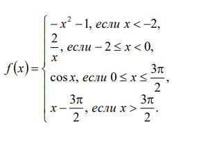
Исследовать непрерывность функции f (x). Найти точки разрыва функции и
определить их характер. Выполнить геометрическую иллюстрацию.

Приложения:

Ответы

Ответ дал: NNNLLL54
1

Ответ:

f(x)=\left\{\begin{array}{llll}-x^2-1\ \ ,\ esli\ x<-2\ ,\\\dfrac{2}{x}\ \ ,\ esli\ -2\leq x<0\ ,\\cosx\ \ ,\ esli\ 0\leq x<\dfrac{3\pi }{2}\ ,\\x-\dfrac{3\pi }{2}\ \ ,\ esli\ \ x>\dfrac{3\pi }{2}\end{array}\right

1)\ \ f(-2-0)=\lim\limits_{x \to -2-0}f(x)= \lim\limits_{x \to -2-0}(-x^2-1)=-5\\\\f(-2+0)=\lim\limits_{x \to -2+0}f(x)= \lim\limits_{x \to -2+0}\dfrac{2}{x}=-1\\\\f(-2)=\dfrac{2}{-2}=-1\\\\f(-2-0)\ne f(-2+0)=f(-2)\ \ \ \Rightarrow

Функция при х= -2 имеет разрыв 1 рода . Скачок равен -1-(-5)=4 .

2)\ \ f(0-0)= \lim\limits_{x \to 0-0}f(x)= \lim\limits_{x \to 0-0}\dfrac{2}{x}=-\infty \\\\f(0+0)=\lim\limits_{x \to 0+0}f(x)=\lim\limits_{x \to 0+0}\, cosx=1\\\\f(0)=cos0=1

При х=0 функция имеет разрыв 2 рода .

3)\ \ f\Big(\dfrac{3\pi}{2}-0\Big)=\lim\limits_{x \to \frac{3\pi}{2}-0}f(x)=\lim\limits_{x \to \frac{3\pi}{2}-0}\, cosx=0\\\\f\Big(\dfrac{3\pi}{2}+0\Big)=\lim\limits_{x \to \frac{3\pi}{2}+0}f(x)=\lim\limits_{x \to \frac{3\pi}{2}-0}\Big (x-\dfrac{3\pi}{2}\Big)=0\\\\f\Big(\dfrac{3\pi}{2}\Big)=cos\Big(\dfrac{3\pi}{2}\Big)=0\\\\f\Big(\dfrac{3\pi}{2}-0\Big)=f\Big(\dfrac{3\pi}{2}+0\Big)=f\Big(\dfrac{3\pi}{2}\Big)\ \ \ \Rightarrow

При    x=\dfrac{3\pi}{2}   функция непрерывна .

Приложения:
Вас заинтересует