• Предмет: Алгебра
  • Автор: katylvk
  • Вопрос задан 8 лет назад

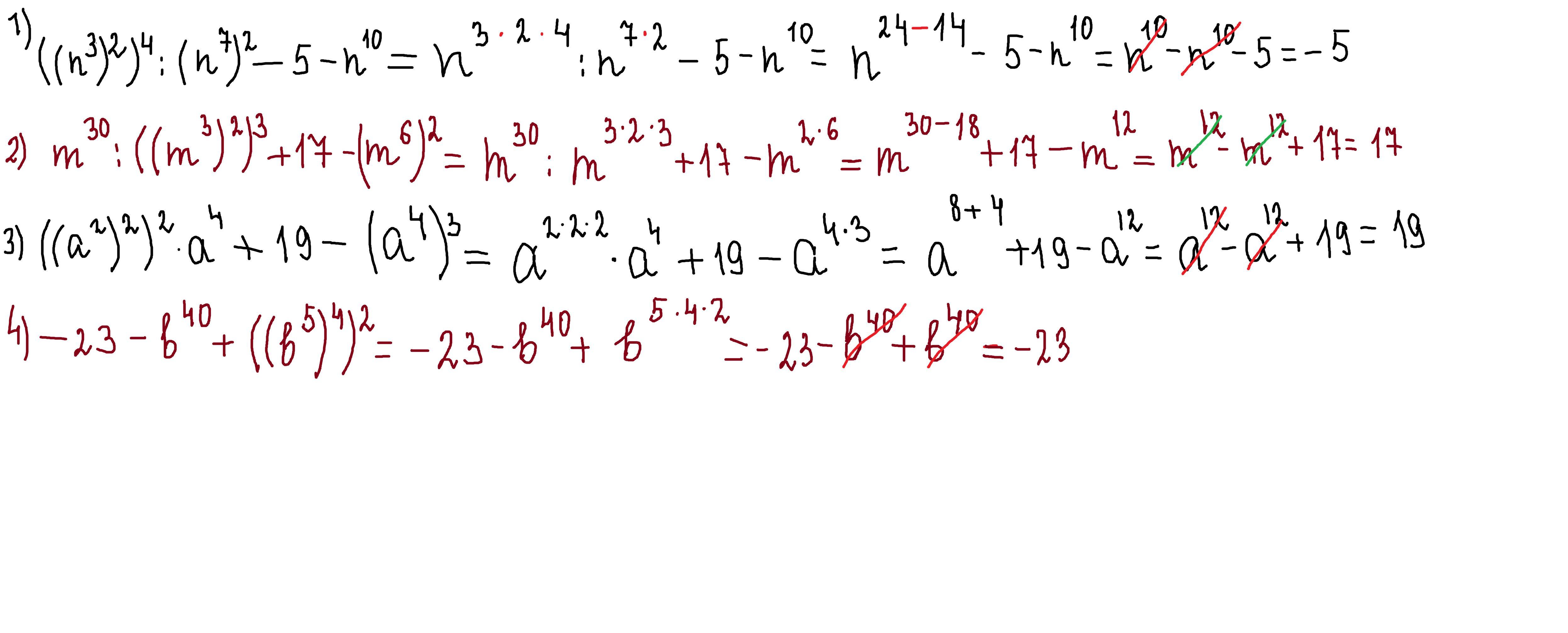
9.8. Докажите, что значение выражения не зависит от значения
переменной:
20 баллов срочно!!! Пожалуйста

Приложения:

Ответы

Ответ дал: parus77
6

Ответ:

Объяснение:

после действия с переменными получились ответы,которые не содержат переменных,а значит не зависит от значения переменных

Приложения:

Аноним: спасибо
Вас заинтересует