Объясните пожалуйста как решать такие выражения подробно. Мы только изучаем корень..
Дам 40 баллов
Приложения:

petrilinapolina22:
квадратный корень из 25 = 5 (тк 5 в квадрате=5) кв.корень из 16 = 4 (тк 4 в квадрате=6)
Ответы
Ответ дал:
1
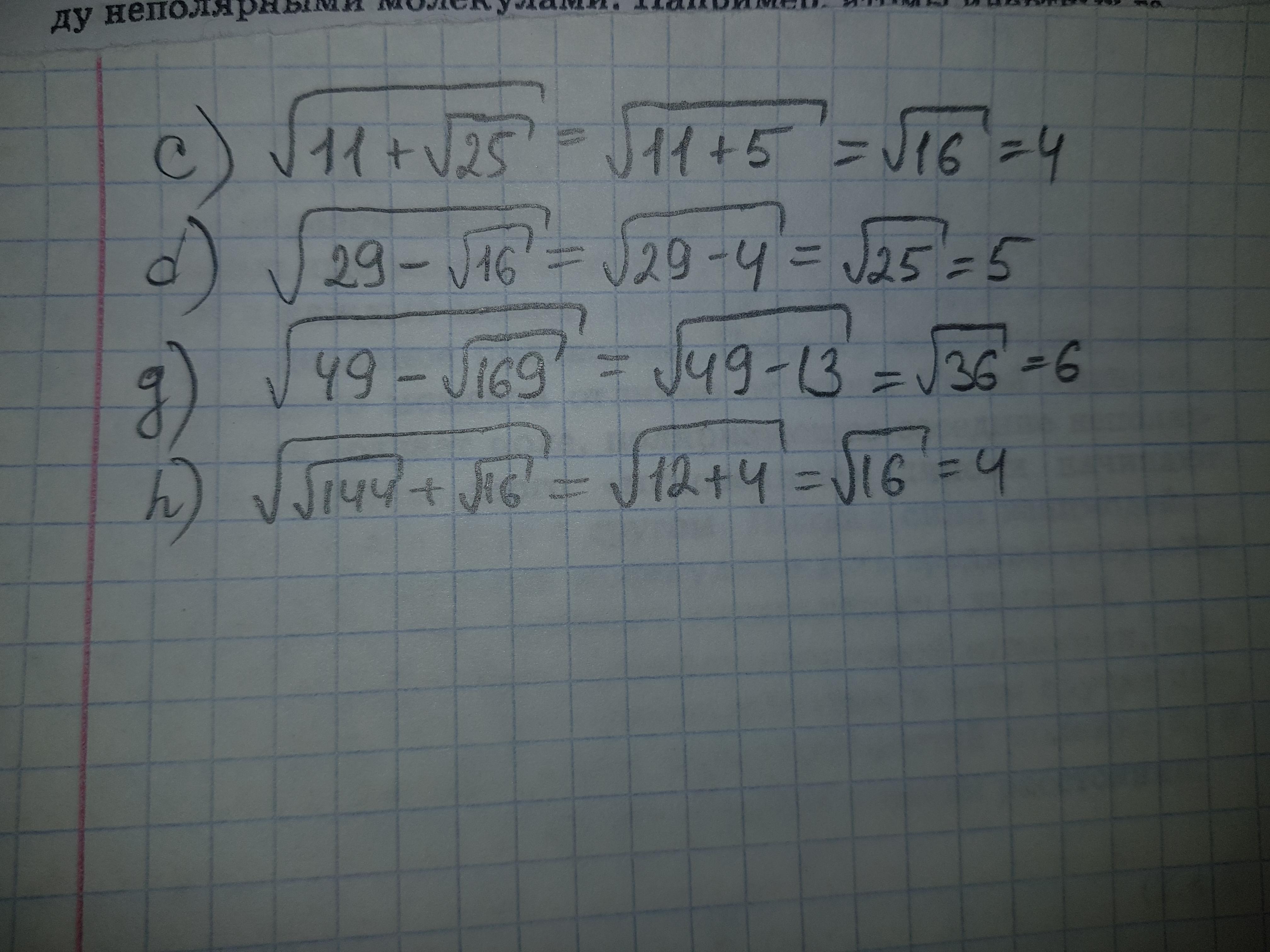
Решение смотри на фото
Приложения:

Вас заинтересует
2 года назад
3 года назад
3 года назад
8 лет назад
9 лет назад