Ответы
Ответ дал:
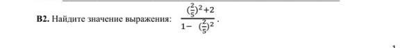
2
Объяснение:
........................
Приложения:

Tox1kkk:
!!!!!!!!!!!!!! !!!!!!!!!!!СПС!!!!!!!!!!!!!!
Вас заинтересует
2 года назад
3 года назад
3 года назад
8 лет назад
8 лет назад
9 лет назад