Ответы
Ответ дал:
1
Объяснение:
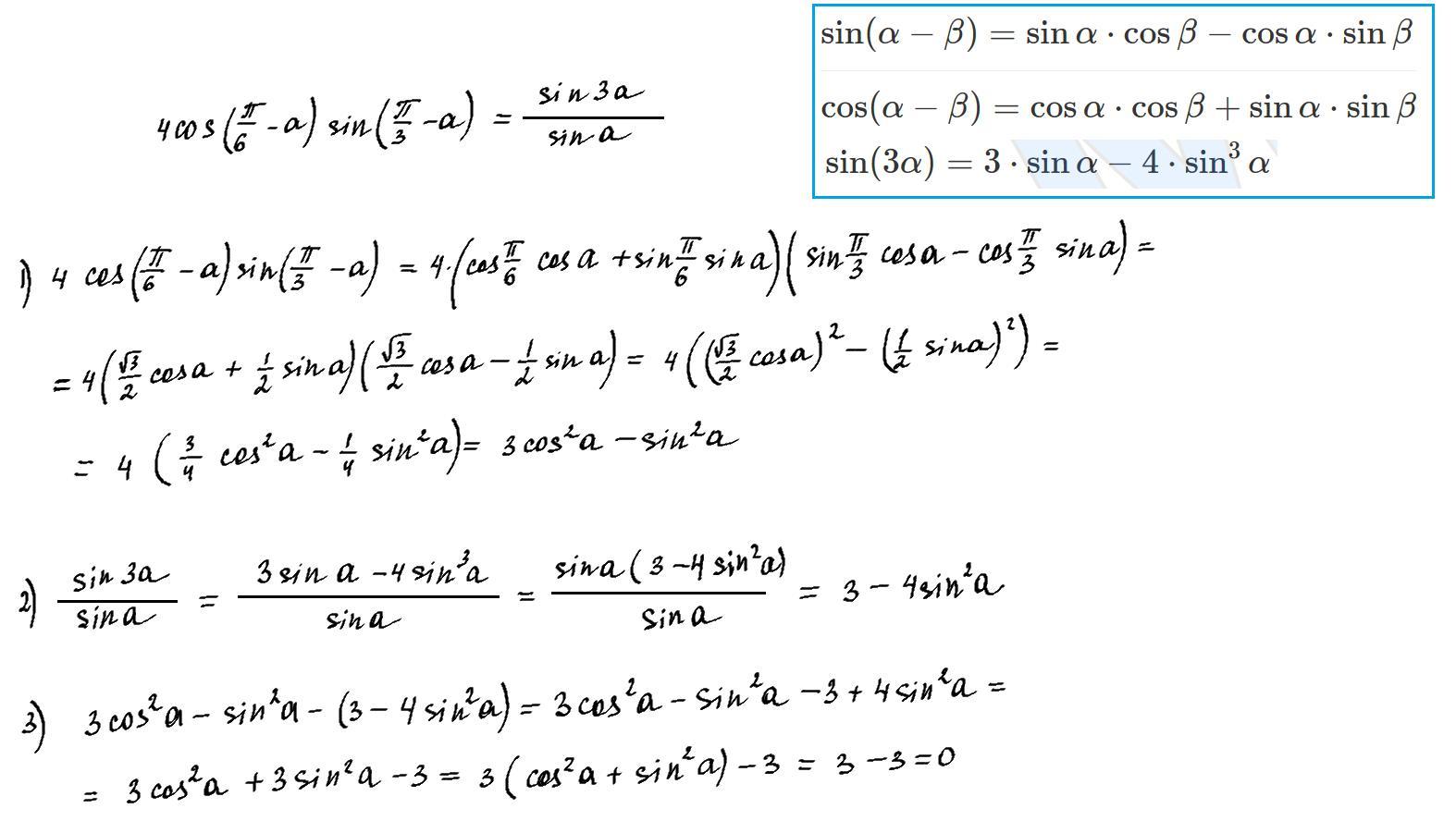
Решение на фото.
Если разность левой и правой части тождества равна нулю, то тождество верно.
В рамочке формулы, которые были использованы при упрощении.
В первом действии упростила левую часть.
Во втором действии упростила правую часть.
В третьем действии нашла разность полученных результатов.
Разность равна 0, значит тождество верно.
Приложения:

Вас заинтересует
2 года назад
2 года назад
3 года назад
3 года назад
8 лет назад