Ответы
Ответ дал:
1
Ответ:
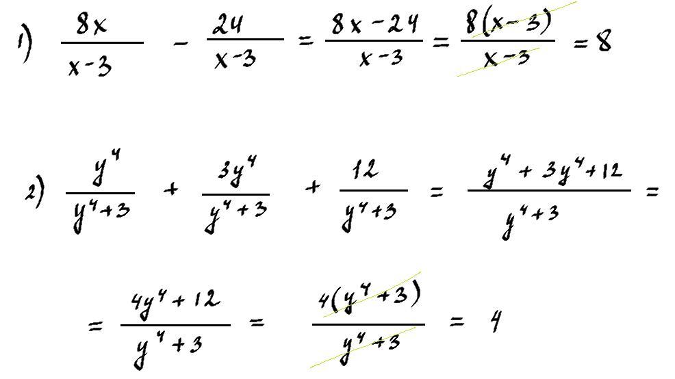
1) 8
2) 4
Объяснение:
Решение на фото.
Приложения:

Ответ дал:
0
Объяснение:
1. 8(x-3) / x-3 = 8
2. 4y^4+12 / y^4+3 = 4
^ означает степень
/ означает деление
Вас заинтересует
2 года назад
2 года назад
8 лет назад
8 лет назад
9 лет назад