• Предмет: Математика
  • Автор: lmao72
  • Вопрос задан 8 лет назад

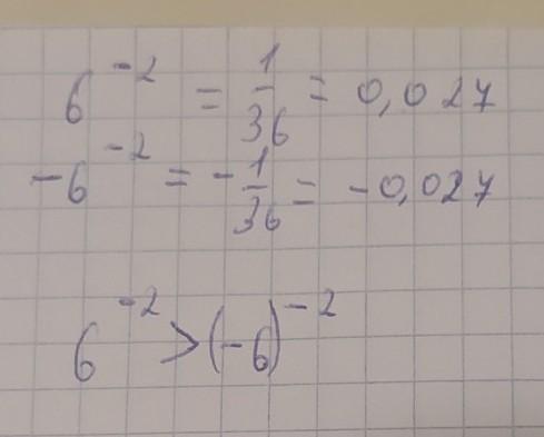
6 в степени -2 и (-6) в степени -2 Сравните ​

Ответы

Ответ дал: zagilya123
1

Пошаговое объяснение:

ОТВЕТ ОТВЕТ ..............

Приложения:
Ответ дал: skrinnikekaterina17
0

6 в степени -2, 6 умножаем на 6=-36

(-6) в степени -2, -6 умножаем на -6=0,027

не знаю правильно или нет, сразу извеняюсь

Вас заинтересует