• Предмет: Математика
  • Автор: davletzyanovalera
  • Вопрос задан 8 лет назад

срочно алгебра 9 класс​

Приложения:

Ответы

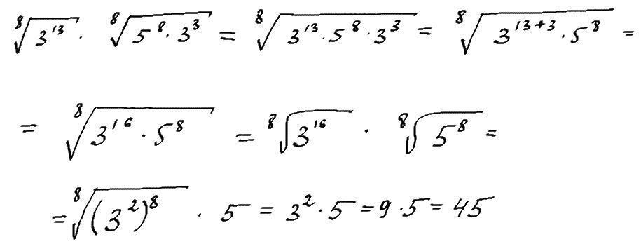
Ответ дал: UluanaV
0

Пошаговое объяснение:

Решение на фото.

Приложения:
Ответ дал: Pelmeshka83
0

Пошаговое объяснение:

 \sqrt[8]{ {3}^{13} }  \times  \sqrt[8]{ {5}^{8}  \times  {3}^{3} }  = 3 \sqrt[8]{ {3}^{5} }  \times  5\sqrt[8]{ {3}^{3} }  = 15 \sqrt[8]{ {5}^{8} }  = 15 \times 5 = 45

Вас заинтересует