• Предмет: Алгебра
  • Автор: exzxott
  • Вопрос задан 8 лет назад

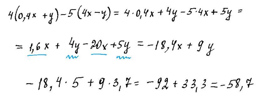
Задача на фото (не писать чушь, сразу в бан) кто правильно с пояснением - спасибо

Приложения:

Ответы

Ответ дал: UluanaV
1

Объяснение:

Решение на фото.

Приложения:
Вас заинтересует