• Предмет: Алгебра
  • Автор: Yura2626
  • Вопрос задан 8 лет назад

СРОЧНО СРОЧНО СРОЧНО​

Приложения:

Ответы

Ответ дал: Universalka
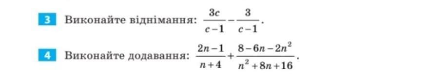
1

1) \ \dfrac{3c}{c-1} -\dfrac{3}{c-1} =\dfrac{3c-3}{c-1}=\dfrac{3(c-1)}{c-1}=\boxed3\\\\\\2) \ \dfrac{2n-1}{n+4} +\dfrac{8-6n-2n^{2} }{n^{2}+8n+16 }=\dfrac{2n-1}{n+4} +\dfrac{8-6n-2n^{2} }{(n+4)^{2}  }=\\\\\\=\dfrac{(2n-1)\cdot(n+4)+8-6n-2n^{2} }{(n+4)^{2} }=\dfrac{2n^{2}+8n-n-4+8-6n-2n^{2}}{(n+4)^{2} }=\\\\\\=\dfrac{n+4}{(n+4)^{2} } =\boxed{\dfrac{1}{n+4}}


Yura2626: я новый сделал вопрос
Вас заинтересует