• Предмет: Алгебра
  • Автор: Аноним
  • Вопрос задан 8 лет назад

Помогите, пожалуйста, срочно!
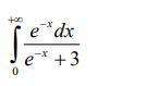
Вычислить несобственный интеграл или установить его расходимость.

Приложения:

Ответы

Ответ дал: Miroslava227
1

Ответ:

решение на фотографии.

Приложения:

Аноним: спасибо огромное! можешь ещё помочь?
Аноним: https://znanija.com/task/45499450
Вас заинтересует