• Предмет: Алгебра
  • Автор: damukan17
  • Вопрос задан 8 лет назад

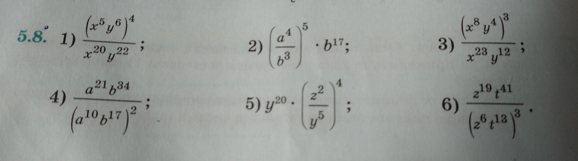
помогите пожалуйста​

Приложения:

Ответы

Ответ дал: yfcnzzzzzz
1

.............................

Приложения:

damukan17: спасибо
Вас заинтересует