• Предмет: Алгебра
  • Автор: usenkoanna55
  • Вопрос задан 8 лет назад

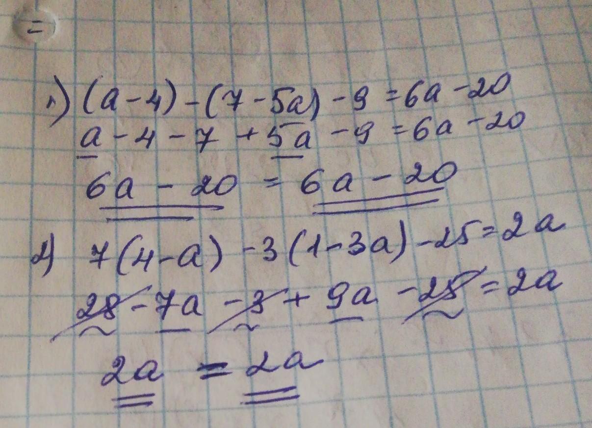
1)Доведіть тотожність ( а - 4) - (7 - 5а) - 9 = 6а - 20 *
2)Доведіть тотожність 7(4 - а) - 3( 1 - 3а) - 25 = 2а *
дам 40 баллов​

Ответы

Ответ дал: larisaserova53
1

Ответ:

Смотри решение на фото выше

Приложения:

usenkoanna55: спасибо тебе большое ❤️
Вас заинтересует