Ответы
Ответ дал:
1
Ответ:
Смотри решение на фото выше
Приложения:

Ответ дал:
0
Ответ:
Пошаговое объяснение:
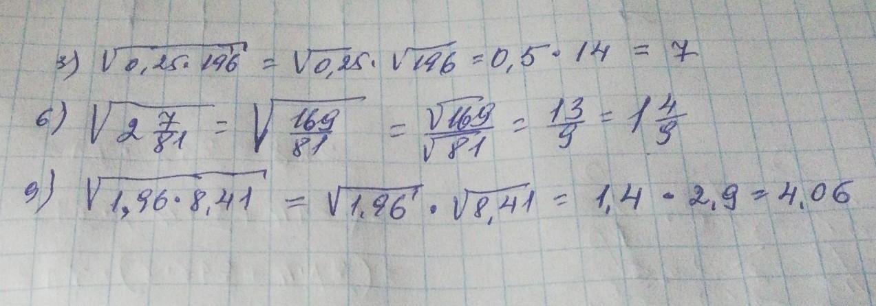
№3. √((0,25)*196)=√(25*196)/10=5*14/10=7
№6.
√(2 7/81)=√169/81=13/9.
№9
√(1,96*8,41)=√(196*841)/100=14*29/100=406/100=4,06.
Вас заинтересует
2 года назад
2 года назад
3 года назад
8 лет назад