помогите под мира вам и вашему дому
100 баллов
Приложения:

uzdunrobitakaspersky:
привет
Ответы
Ответ дал:
2
Ответ:
Объяснение:
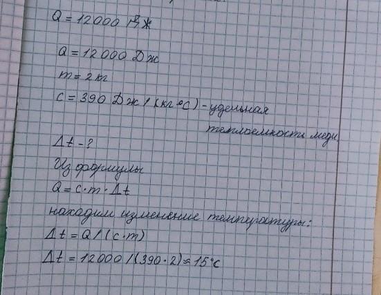
Дано:
Q = 12 000 Дж
m = 2 кг
c = 390 Дж / (кг·°С) - удельная теплоемкость меди
_____________
Δt - ?
Из формулы:
Q = c·m·Δt
находим изменение температуры:
Δt = Q / (c·m)
Δt = 12 000 / (390·2) ≈ 15°C
Ответ дал:
3
Ответ во вложении
Всего хорошего
Приложения:

Вас заинтересует
2 года назад
2 года назад
3 года назад
8 лет назад
9 лет назад