• Предмет: Алгебра
  • Автор: mrfrozenses
  • Вопрос задан 8 лет назад

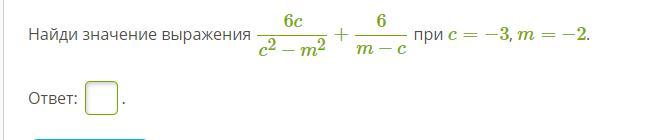
Найди значение выражения
срочно

Приложения:

mrfrozenses: ответ 2,4

Ответы

Ответ дал: Universalka
0

\dfrac{6c}{c^{2} -m^{2} }+\dfrac{6}{m-c} =\dfrac{6c}{(c -m)(c+m) }-\dfrac{6}{c-m} =\dfrac{6c-6\cdot(c+m)}{(c-m)(c+m)}=\\\\\\=\dfrac{6c-6c-6m}{c^{2}-m^{2}}=\dfrac{6m}{m^{2}-c^{2}}\\\\\\c=-3 \ ; \ m=-2\\\\\\\dfrac{6m}{m^{2}-c^{2}}=\dfrac{6\cdot(-2)}{(-2)^{2}-(-3)^{2}}=\dfrac{-12}{4-9}=\dfrac{-12}{-5} =\boxed{2,4}

Вас заинтересует