• Предмет: Алгебра
  • Автор: bohdankira
  • Вопрос задан 8 лет назад

помогите пожалуйста ​

Приложения:

AisuluGallaher17: О Чану наверное, здоровья Маме(。’▽’。)♡
AisuluGallaher17: на аве*

Ответы

Ответ дал: helinia01
1

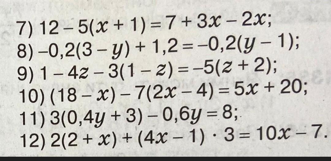
7) 12-5(x+1)=7+3x-2x

12-5x-5=7+x

-6x=7-7

-6x=0

x=0

8) -0,2(3-y)+1,2=-0,2(y-1)

0,2y-0,6+1,2=0,2-0,2y

0,4y=0,2-0,6

0,4y=-0,4

y=-1

9) 1-4z-3(1-z)=-5(z+2)

1-4z-3+3z=-5z-10

-z+5z=2-10

4z=-8

z=-2

10) (18-x)-7(2x-4)=5x+20

18-x-14x+28-5x=20

-20x=-26

x=1,3

11) 3(0,4y+3)-0,6y=8

1,2y+9-0,6y=8

0,6y=8-9

y=-1÷0,6=-10÷6=-1 4/6= -1 2/3

12) 2(2+x)+(4x-1)×3=10x-7

4+2x+12x-3-10x=-7

4x=-8

x=-2

Вас заинтересует