• Предмет: Алгебра
  • Автор: fantom67879
  • Вопрос задан 8 лет назад

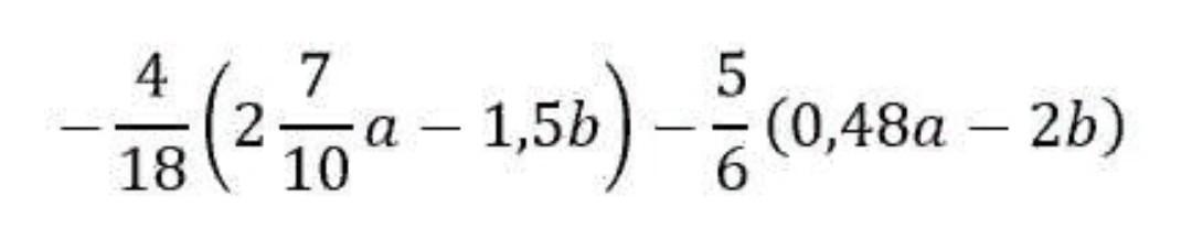
Раскройте скобки и упростите выражение​

Приложения:

Ответы

Ответ дал: iborahim
0

Ответ:

....................................

Приложения:
Вас заинтересует