• Предмет: Математика
  • Автор: rsaf74988
  • Вопрос задан 8 лет назад

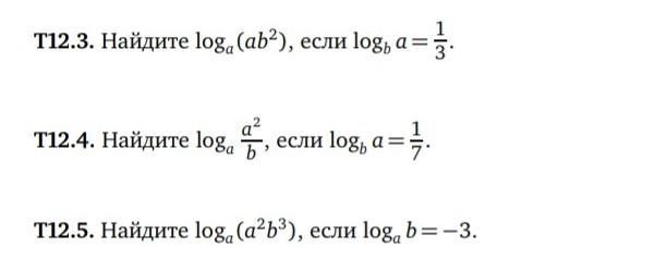
логарифмы, помогите пожалуйста​

Приложения:

Artur1505: тупо подставляйте в формулы. смотрим первый логарифм: разделим его. получим loga по основанию а + logb по основанию а. первый равен 1, второй поменяем местами значение с основанием. это будет равно 1/loga по основанию b =1+1:1/3=1+3=4

Ответы

Ответ дал: annpop17
1

Ответ:

в третьем, в постановке вместо 1 нужно 2, сорри

Приложения:
Вас заинтересует