• Предмет: Алгебра
  • Автор: vikki1980timo
  • Вопрос задан 8 лет назад

Помогите пожалуйста! Первый ответ сделаю лучшим)))
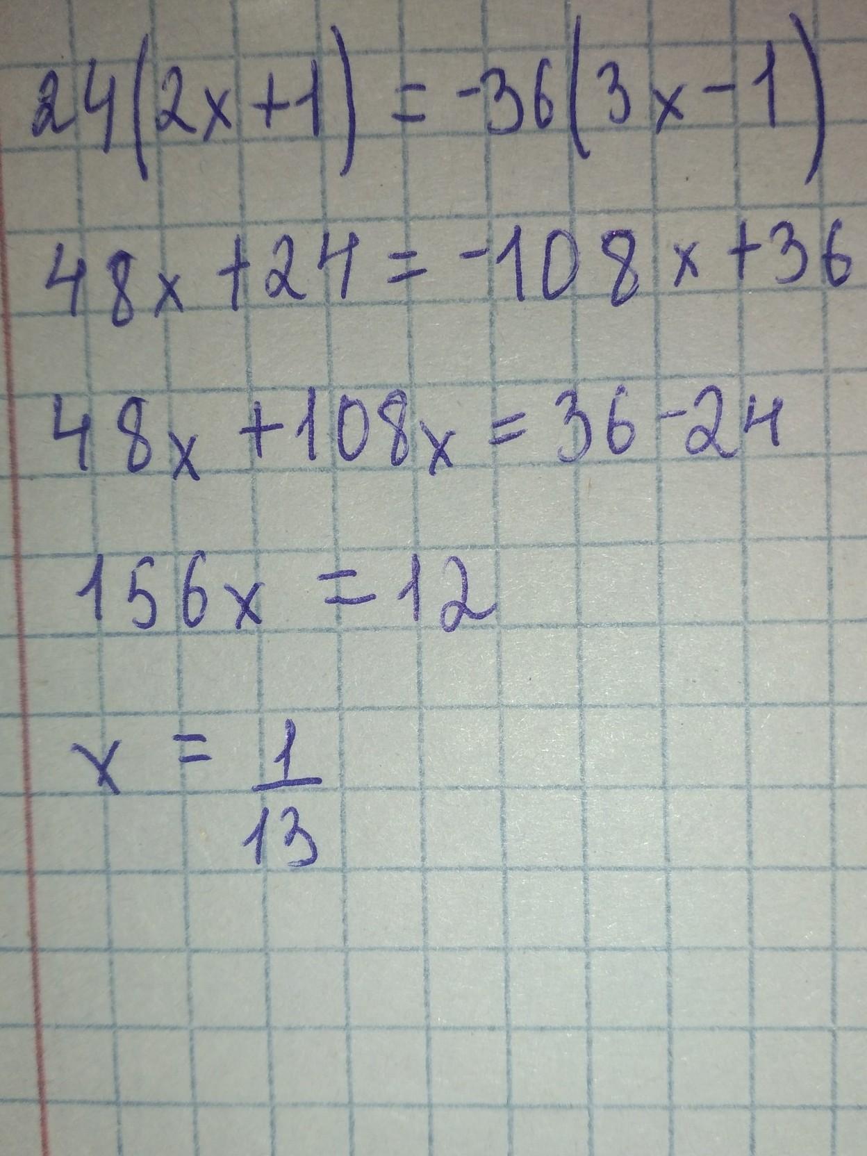
1) 24(2х+1) = -36(3х-1)
2) 8(7х-3) = -48(3х+2)

РЕШИТЬ ТАК КАК УКАЗАНО НА КАРТИНКЕ!​

Приложения:

Ответы

Ответ дал: nuraikabologna
0

Объяснение:

У меня воттт так получилосььь

Приложения:
Вас заинтересует