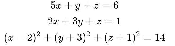
Короче, найти x, y, z: выразив x и y, через z
Приложения:

LFP:
систему можно решить по-разному... именно через z нужно выразить...? удобнее z выразить через х и у...
Ответы
Ответ дал:
2
Ответ: (1; -1; 2) и (²³/₁₃; ²/₁₃; -3)
Приложения:

Вас заинтересует
2 года назад
2 года назад
3 года назад
3 года назад
8 лет назад
9 лет назад