• Предмет: Алгебра
  • Автор: jecerex431
  • Вопрос задан 8 лет назад

Выбери верный ответ равна сумма дробей​

Приложения:

Ответы

Ответ дал: UluanaV
0

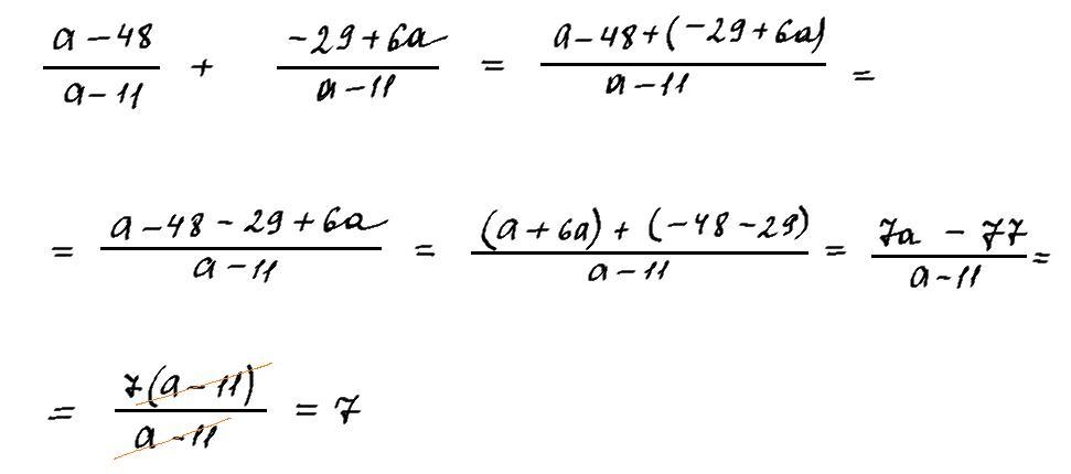
Ответ:

7

Объяснение:

Решение на фото.

Приложения:
Вас заинтересует