• Предмет: Алгебра
  • Автор: Аноним
  • Вопрос задан 8 лет назад

Даю максимальный балл ответьте пожалуйста с объяснениями!

Приложения:

brainlyacc59: я все решил но не успел!
Аноним: что не успел?
brainlyacc59: не тогда кто то другой ответил и мне нелзя было но его ответ удалили
Аноним: https://chat.whatsapp.com/HNYZOkoMxOk8TIL7UnQXXs кто из интернет урока 7 класс заходите

Ответы

Ответ дал: brainlyacc59
0

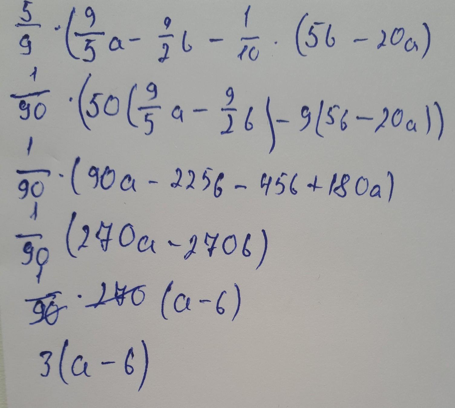
вот ответ старлся писал чтобы было разборчиво

Приложения:

Аноним: о боже спасибо
Аноним: только вопрос
Аноним: зачеркнуто это ошибка или вопрос?
brainlyacc59: қысқарту
brainlyacc59: сокращение
Вас заинтересует